

货号
产品规格
售价
备注
BN14013-200 mg
200 mg
¥250.00
产品描述
应用范围:线粒体染料
产品参数
外观:可溶于 DMSO 或 DMF 的橘色固体
λEx/λEm = 474/606 nm (MeOH)
贮存条件:-20℃ 避光保存
保质期:12 个月
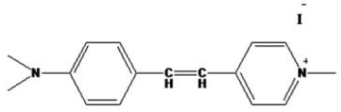
CAS 号:68971-03-9
分子式:C16H19IN2
分子量:366.2
分子结构图:

产品介绍
4-Di-1-ASP 是苯乙烯基染料,用于染色活细胞线粒体。 它也被用于染色神经胶质瘤细胞、活体大脑组织等。
注意事项
1. 荧光染料均存在淬灭问题,请尽量注意避光,以减缓荧光淬灭。
2. 为了您的安全和健康,请穿实验服并戴一次性手套操作。