

货号
产品规格
售价
备注
BN14019-10 mg
10 mg
¥480.00
产品描述
应用范围:细胞膜荧光染料、神经元顺行和逆行示踪、细胞长期示踪
产品参数
外观:可溶于乙醇、DMF 和 DMSO 的深蓝色固体
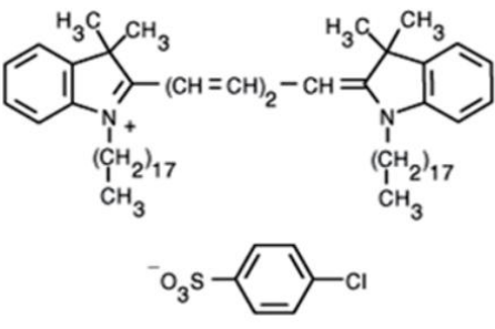
CAS 号:127274-91-3
λEx/λEm(MeOH) = 644/663 nm
分子式:C67H103ClN2O3S
分子量:1052.1
分子结构图:

贮存条件 -20℃ 避光保存,保质期 12 个月。
产品介绍
DiD 染料是亲脂性荧光染料家族成员之一,它可以用来染细胞膜和其它脂溶性生物结构。当 DiD 与细胞膜结合后其荧光强度大大增强,这类染料有着很高的淬灭常数和激发态寿命。一旦对细胞染色,这类染料在整个细胞膜上扩散, 最佳浓度时可以使整个细胞膜染色。DiD(远红色荧光)可以用来对活细胞进行成像和流式分析。DiD 可以用 633 nm He–Ne 激光器激发,有着比 Di(I 一种常见的细胞荧光染料) 更长的激发波长和发射波长,在细胞和组织染色中更有价值。
DiD 染色后可进行多聚甲醛(不可使用甲醇等其他试剂)的固定,但不建议在染色后进行透化的过程。此外,在固定透化(室温下用 0.1% TritonX-100 透化)后,也可以很好地进行质膜染色。
注意事项
1. DiD 染色固定的细胞或组织样品时,样品宜使用配制在 PBS 中的 4%多聚甲醛进行固定,使用其它不适当的固定液会导致荧光背景较高。
2. 荧光染料均存在淬灭问题,请尽量注意避光,以减缓荧光淬灭。
3. 为了您的安全和健康,请穿实验服并戴一次性手套操作。