

货号
产品规格
售价
备注
BN14021-5 mg
5 mg
¥360.00
产品描述
应用范围:细胞膜荧光染料、神经元顺行和逆行示踪、细胞长期示踪
产品参数
外观:可溶于乙醇、己烷、DMSO 或植物油的橙黄色固体
λEx/λEm(MeOH) = 484/501 nm
分子式:C16H17Cl2N5
分子量:1086
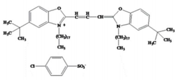
分子结构图:

贮存条件 4℃ 避光保存,保质期 12 个月。
产品介绍
Neuro-DiO 是一种代替膜绿色荧光染料 DiO 的新型染料,DiO 由于其溶解度低、易形成聚合物和横向扩散速度缓慢等缺点,很难用于神经元和细胞悬液的研究。Neuro-DiO 和 DiO 具有几乎相同的吸收光谱和发射光谱,但前者具有更好的膜溶解性,并且不形成非荧光性的聚集体,通常这也会减慢染料在膜上的扩散速率。
Neuro-DiO 染色后可进行多聚甲醛(不可使用甲醇等 其他试剂)的固定,但不建议在染色后进行透化的过程。此外,在固定透化(室温下用 0.1% TritonX-100 透化)后,也可以很好地进行质膜染色。
注意事项
1. Neuro-DiO 染色固定的细胞或组织样品时,样品宜使用配制在 PBS 中的 4% 多聚甲醛进行固定,使用其它不适当的固定液会导致荧光背景较高。
2. 荧光染料均存在淬灭问题,请尽量注意避光,以减缓荧光淬灭。
3. 为了您的安全和健康,请穿实验服并戴一次性手套操作。