

货号
产品规格
售价
备注
BN14028-20 mg
20 mg
¥280.00
产品描述
应用范围:膜电位染色
产品参数
外观:可溶于 DMSO 或 DMF 的橘红色固体
λEx/λEm (MeOH) = 482/497 nm
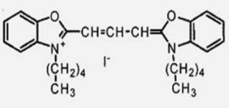
CAS 号:53213-81-3
分子式:C27H33IN2O2
分子量:544.47
分子结构图:

贮存条件 -20℃避光保存,保质期一年。
产品介绍 碳菁染料 DiOC5(3) 被广泛用于膜电位的测量。
注意事项
1. 荧光染料均存在淬灭问题,请尽量注意避光,以减缓荧光淬灭。
2. 为了您的安全和健康,请穿实验服并戴一次性手套操作。