

货号
产品规格
售价
备注
BN15035-10 mg
10 mg
¥600.00
产品描述
应用范围:巯基反应染料
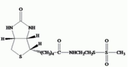
产品参数
外观:可溶于 DMSO 或 DMF 的白色固体
CAS 号:162758-04-5
分子式:C13H16N3O4S3
分子量:381.52
分子结构图:

贮存条件:-20℃避光干燥保存,12 个月有效
产品介绍:MTSEA biotin (2-((Biotinoyl)amino)ethyl methanethio- sulfonate)在温和的条件下有选择地标记巯基,选择性标记细胞表面的巯基。
注意事项
1.荧光染料均存在淬灭问题,请尽量注意避光,以减缓荧光淬灭。
2.为了您的安全和健康,请穿实验服并戴一次性手套操作。