

货号
产品规格
售价
备注
BN15063-10 mg
10 mg
¥200.00
产品描述
应用范围:氨基反应活性染料
产品参数
外观:可溶于 DMSO 的白色固体
CAS 号:89889-52-1
贮存条件:-20℃避光保存
保质期:12 个月
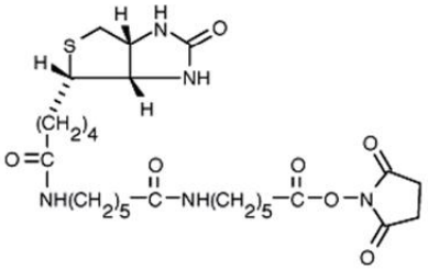
分子式:C26H41N5O7S
分子量:567.7
分子结构图:

产品介绍
Biotin-XX, SE 在温和条件下可以很容易地和一级或二级胺反应,常用来标记蛋白。更长的 XX 链有利于生物素与亲和素或链霉素之间的相互作用。
注意事项
1.荧光染料均存在淬灭问题,请尽量注意避光,以减缓荧光淬灭。
2.为了您的安全和健康,请穿实验服并戴一次性手套操作。